Cetak
Kategori: Rancangan Bujur Sangkar Latin

4.1.    Pendahuluan

Rancangan Acak Kelompok Lengkap (RAKL) umumnya digunakan untuk meningkatkan kemampuan dalam mendeteksi perbedaan sebenarnya diantara perlakuan yang kita coba dengan cara menghilangkan pengaruh dari keragaman lain yang kita ketahui (kelompok) dari galat percobaan. Apabila ide tersebut diaplikasikan untuk menghilangkan dua sumber keragaman dengan cara pengelompokan dalam dua arah, maka rancangan tersebut disebut dengan Rancangan Bujur Sangkar Latin (RBSL). Dengan demikian, RBSL merupakan suatu rancangan percobaan dengan dua arah pengelompokan, yaitu baris dan kolom. Banyaknya perlakuan sama dengan jumlah ulangan sehingga setiap baris dan kolom akan mengandung semua perlakuan. Pada rancangan ini, pengacakan dibatasi dengan mengelompokannya ke dalam baris dan juga kolom, sehingga setiap baris dan kolom hanya akan mendapatkan satu perlakuan.

Pada percobaan biologi, sering kali pengamatan dilakukan secara berulang pada satuan percobaan yang sama.  Pada kasus tersebut, mungkin saja beberapa perlakuan akan menghasilkan pengaruh yang berbeda selama percobaan berlangsung, konsekuensinya, mungkin akan mempengaruhi respons yang diamati pada periode yang berbeda.  Sehingga respons mungkin merupakan fungsi dari perlakuan pada periode tertentu.  Salah satu cara untuk menghilangkan galat percobaan tersebut adalah dengan cara memasukkan waktu/periode pengamatan ke dalam perlakuan.  Dengan demikian, di sini terdapat dua arah pengelompokan (double blocking), pertama berdasarkan kelompok pada percobaan dasar, dan kedua kelompok dari waktu pengamatan, sehingga rancangannya menjadi RBSL. 

RBSL di mana perlakuan dalam urutan numerik atau alpabetis di tempatkan pada baris dan  kolom pertama disebut dengan Rancangan Dasar (standar).  Gambar berikut merupakan rancangan dasar untuk ukuran 2x2, 3x3, dan 4x4.  Penambahan ukuran (perlakuan) secara cepat akan meningkatkan jumlah kemungkinan rancangan dasar.  Jumlah rancangan dasar yang mungkin dibentuk adalah (# of standard squares) (K!) (K - 1)! di mana k adalah jumlah perlakuan. Sebagai contoh, apabila k =4, maka kemungkinan rancangan dasar yang bisa dibentuk adalah (4).(4!).(3!) = 576 kemungkinan.

 

 

 

 

 

 

 

 

4x4

 

 

 

 

 

 

 

 

A

B

C

D

 

A

B

C

D

2x2

 

 

B

A

D

C

 

B

C

D

A

A

B

 

 

C

D

B

A

 

C

D

A

B

B

A

 

 

D

C

A

B

 

D

A

B

C

 

 

 

 

 

 

 

 

 

 

 

 

 

 

3x3

 

 

A

B

C

D

 

A

B

C

D

A

B

C

 

B

D

A

C

 

B

A

D

C

B

C

A

 

C

A

D

B

 

C

D

A

B

C

A

B

 

D

C

B

A

 

D

C

B

A

Gambar 9.    Rancangan dasar RBSL untuk ukuran 2x2, 3x3, dan 4x4.

Keuntungan rancangan bujur sangkar latin :

  1. Mengurangi keragaman galat melalui penggunaan dua buah pengelompokan
  2. Pengaruh perlakuan dapat dilakukan untuk percobaan berskala kecil
  3. Analisis relatif mudah
  4. Baris atau kolom bisa juga digunakan untuk meningkatkan cakupan dalam pengambilan kesimpulan

Kelemahan rancangan bujur sangkar latin :

  1. Banyaknya baris, kolom dan perlakuan harus sama, sehingga semakin banyak perlakuan, satuan percobaan yang diperlukan juga semakin banyak.
  2. Apabila banyaknya kelompok bertambah besar, galat percobaan per satuan percobaan juga cenderung meningkat.
  3. Asumsi modelnya sangat mengikat, yaitu bahwa tidak ada interaksi antara sembarang dua atau semua kriteria , yaitu baris, kolom dan perlakuan.
  4. Pengacakan yang diperlukan sedikit lebih rumit daripada pengacakan rancangan-rancangan sebelumnya.
  5. Derajat bebas galatnya yang lebih kecil dibanding dengan rancangan lain yang berukuran sama, akan menurunkan tingkat ketelitian, terutama apabila jumlah perlakuannya berukuran kecil.
  6. Memerlukan pengetahuan/pemahaman dasar dalam menyusun satuan percobaan yang efektif.
  7. Apabila ada data hilang, meskipun jumlahnya tidak terlalu banyak, maka hasil analisisnya diragukan karena perlakuan menjadi tidak seimbang. 

Setiap perlakuan muncul sekali di setiap baris  dan sekali pada setiap kolom.  Pertama, pilih rancangan dasar yang sesuai dengan ukurannya, kemudian lakukan pengacakan pada arah baris, dan selanjutnya pengacakan pada arah kolom.

Misal terdapat 4 perlakuan A, B, C, D. 

  1. Kita pilih rancangan dasar ukuran 4x4.

Baris\Kolom

1

2

3

4

1

A

B

C

D

2

B

A

D

C

3

C

D

B

A

4

D

C

A

B

  1. Pengacakan pada posisi baris.  Misal pengacakan dengan menggunakan fungsi Rand() pada MS Excel (cara pengacakan secara detail dengan bantuan MS Excel dapat dilihat pada pengacakan RAL).  Dari proses pengacakan tersebut kita mendapatkan urutan baru 4, 3, 1, 2. Artinya, baris yang asalnya ada diposisi ke-1(urutan semula) berubah menjadi posisi 4 (Urutan pengacakan), beris ke-2 menjadi baris ke-3, dst.

Dari hasil pengacakan pada posisi baris tersebut kita mendapatkan hasil sebagai berikut:

Baris\Kolom

1

2

3

4

4

D

C

A

B

3

C

D

B

A

1

A

B

C

D

2

B

A

D

C

  1. Dengan cara yang sama, kita lakukan pengacakan untuk posisi kolom. Misalkan kita mendapatkan urutan pengacakan: 2, 1, 4, 3.  Artinya, kolom ke-1 menjadi kolom ke-2, kolom ke-2 menjadi kolom ke-1, dst. Dari hasil pengacakan pada posisi kolom tersebut kita mendapatkan hasil sebagai berikut:

Baris\Kolom

2

1

4

3

2

C

D

B

A

4

D

C

A

B

1

B

A

D

C

3

A

B

C

D

 

Setelah selesai melakukan pengacakan pada arah baris dan kolom, kemudian buat Denah percobaan seperti pada gambar berikut.

C

D

B

A

D

C

A

B

B

A

D

C

A

B

C

D

Gambar 10.  Denah percobaan RBSL 


Model Linier Rancangan Bujur Sangkar Latin

Model linier rancangan bujur sangkar latin  adalah:

$$Y_{ijk}=\mu+\beta_i+\kappa_j+\tau_k+\varepsilon_{ijk}$$

μ       = rataan umum

βi          = pengaruh baris ke-i

κj          = pengaruh kolom ke-j

τk          = pengaruh perlakuan ke-k

εijk       = pengaruh acak dari baris ke-i, kolom ke-k dan perlakuan ke-k

i = 1,2, …,r ;           j = 1,2, …,r ;           k = 1,2, …,r

Asumsi:

Pengaruh perlakuan tetap

Pengaruh perlakuan acak

$\sum{\beta_i\ \ =\ \sum{\kappa_j=}\sum\tau_k}\ =\ 0\ ;\ \ \ \ \ \varepsilon_{ijk}\overset{bsi}{\sim}N(0,\sigma^2)$

$\begin{matrix}\beta_i\overset{bsi}{\sim}N(0,{\sigma_\beta}^2);\ \ \ \ \ \ \kappa_j\overset{bsi}{\sim}N(0,{\sigma_j}^2);\ \ \ \ \ \\\tau_k\overset{bsi}{\sim}N(0,{\sigma_\tau}^2);\ \ \ \ \ \ \ \ \ \varepsilon_{ijk}\overset{bsi}{\sim}N(0,\sigma^2)\\\end{matrix}$

 

Hipotesis:

Hipotesis yang Akan Diuji:

Pengaruh perlakuan tetap

Pengaruh perlakuan acak

H0

Semua τk = 0

(k = 1, 2, …, r)

στ2 = 0

(tidak ada keragaman dalam populasi perlakuan)

H1

Tidak semua τk = 0

(k = 1, 2, …, r)

στ2 > 0

(ada keragaman dalam populasi perlakuan)

 

Analisis Ragam:

Parameter

Penduga

 $$\mu$$

 $$\hat{\mu}=\ \bar{Y}..$$

 $$\beta_i$$

 $${\hat{\beta}}_{i\ }\ =\ Y_{i.}-\bar{Y}..$$

 $$\kappa_j$$

 $${\hat{\kappa}}_j\ =\ {\bar{Y}}_{.j}-\bar{Y}..$$

 $$\tau_k$$

 $${\hat{\tau}}_k\ =\ {\bar{Y}}_k-\bar{Y}..$$

 $$\varepsilon_{ij(k)}$$

 $${\hat{\varepsilon}}_{ij}=Y_{ij}-{\overline{Y}}_{i.}-{\overline{Y}}_{.j}-{\overline{Y}}_k+2{\overline{Y}}_{..}$$

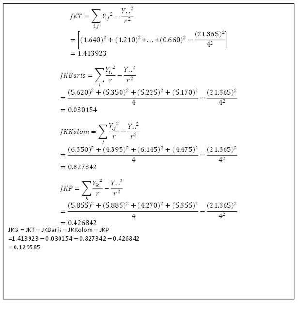
Persamaan Jumlah kuadrat untuk model linier Yij(k) = μ + βi + κj + τ(k) + εij  adalah sebagai berikut:

$$\sum_{i,j}^{r}{({\overline{Y}}_{ij}-{\overline{Y}}_{..})^2=r\sum_{i=1}^{r}{({\overline{Y}}_{i.}-{\overline{Y}}_{..})^2+r\sum_{j=1}^{r}{({\overline{Y}}_{.j}-{\overline{Y}}_{..})^2}+r\sum_{k=1}^{r}{({\overline{Y}}_k-{\overline{Y}}_{..})^2}+\sum_{i,j}^{k}{(Y_{ij}-{\overline{Y}}_{i.}-{\overline{Y}}_{.j}+-{\overline{Y}}_k+2{\overline{Y}}_{..})^2}}}$$

atau,      JKT =       JKBaris        +     JK Kolom            +      JKP        +   JKG

Rumus jumlah kuadrat dalam rancangan bujur sangkar latin adalah sebagai berikut :

 

Definisi

Pengerjaan

FK

 $$\frac{Y..^2}{r^2}$$

 $$\frac{Y..^2}{r^2}$$

JKT

 $$\sum_{i,j}{\left(Y_{ij}-\bar{Y}..\right)^2=\sum_{i,j}{{Y_{ij}}^2-\frac{Y..^2}{r^2}}}$$

 $$\sum_{i,j}{{Y_{ij}}^2-FK}$$

JKBaris

 $$ r\sum_{i}\left({\bar{Y}}_{i.}-\bar{Y}..\right)^2=\sum_{i}\frac{{Y_{i.}}^2}{r}-\frac{Y..^2}{r^2}$$

 $$\sum_{i}\frac{{Y_{i.}}^2}{r}-FK$$

JKKolom

 $$ r\sum_{j}\left({\bar{Y}}_{.j}-\bar{Y}..\right)^2=\sum_{j}\frac{{Y_{.j}}^2}{r}-\frac{Y..^2}{r^2}$$

 $$\sum_{j}\frac{{Y_{.j}}^2}{r}-FK$$

JKP

 $$ r\sum_{k}\left({\bar{Y}}_k-\bar{Y}..\right)^2=\sum_{k}\frac{{Y_k}^2}{r}-\frac{Y..^2}{r^2}$$

 $$\sum_{k}\frac{{Y_k}^2}{r}-FK$$

JKG

 $$\sum_{i,j}{(Y_{ij}-{\bar{Y}}_{i..}-{\bar{Y}}_{.j.}-{\bar{Y}}_k+2{\bar{Y}}_{..})^2}$$

JKT – JKBaris – JKKolom – JKP

Tabel 4.1. Analisis Ragam Rancangan Bujur Sangkar Latin

Sumber
Keragaman

Derajat
Bebas

Jumlah
Kuadrat

Kuadrat
Tengah

Fhitung

E(KT)

 

(DB) 

(JK)

(KT)

 

Semua faktor tetap

Semua faktor acak

Baris

r-1

JKBaris

JKBaris/(r-1)

 $$\frac{KTBaris}{KTG}$$

 $$\sigma^2+r\frac{\sum{\beta_i}^2}{r-1}$$

 $$\sigma^2+r{\sigma^2}_\alpha$$

Kolom

r-1

JKKolom

JKKolom/(t-1)

 $$\frac{KTKolom}{KTG}$$

 $$\sigma^2+r\frac{\sum{\kappa_j}^2}{r-1}$$

 $$\sigma^2+r{\sigma^2}_\beta$$

Perlakuan

r-1

JKP

JKP/(r-1)

 $$\frac{KTP}{KTG}$$

 $$\sigma^2+r\frac{\sum{\tau_k}^2}{r-1}$$

 $$\sigma^2+{\sigma^2}_\tau$$

Galat

(r-1)(r-2)

JKG

JKG/(r-1)(r-2)

 

 $$\sigma^2$$

 $$\sigma^2$$

Total

r2 –1

 

 

 

 

 

Statistik uji yang sesuai untuk menguji hipotesis di atas :  $ F=\frac{KTP}{KTG}$

Kaidah keputusan apabila galat jenis I sebesar α, apabila F≤ Ftabel [α; r-1, (r-1)(r-2)] maka keputusannya adalah terima H0 dan sebaliknya. Ftabel [α; r-1, (r-1)(r-2)] adalah nilai F tabel yang luas di sebelah kanannya sebesar α dengan derajat bebas pembilang r-1 dan derajat bebas penyebut (r-1)(r-2).

Adakalanya kita ingin menguji ada atau tidaknya pengaruh peubah pengelompokan. Apabila peubah pengelompokan bersifat tetap, maka uji hipotesisnya adalah sebagai berikut : 

Uji hipotesis untuk peubah pengelompokan baris :

H0           :     Semua βi = 0                                

H1           :     Tidak semua βi  = 0

dengan statistik uji  $ F=\frac{KTBaris}{KTG}$

Uji Hipotesis untuk peubah pengelompokan kolom :

H0           :     Semua κj = 0                                

H1           :     Tidak semua κj  = 0

Statistik uji : $ F=\frac{KTKolom}{KTG}$

Kaidah keputusan untuk pengaruh baris dan kolom : apabila F≤ Ftabel [α; r-1, (r-1)(r-2)] terima H0 dan sebaliknya.

Galat Baku

Galat baku (Standar error) untuk perbedaan di antara rata-rata perlakuan dihitung dengan formula berikut:

$$S_{\bar{Y}}=\sqrt{\frac{2KTG}{t}}$$


Contoh penerapan

Untuk memudahkan pemahaman prosedur perhitungan sidik ragam RBSL berikut ini disajikan contoh kasus beserta perhitungan sidik ragamnya.  Tabel berikut adalah Layout dan data hasil percobaan RBSL ukuran 4x4 untuk data hasil pipilan jagung hibrida (A, B, dan D) dan penguji (C) (Gomez & Gomez, 1995 hal 34).

No. Baris

Hasil Pipilan (t ha-1)

Jumlah Baris

1

2

3

4

1

1.640 (B)

1.210 (D)

1.425 (C)

1.345 (A)

5.620

2

1.475 (C)

1.185 (A)

1.400 (D)

1.290 (B)

5.350

3

1.670 (A)

0.710 (C)

1.665 (B)

1.180 (D)

5.225

4

1.565 (D)

1.290 (B)

1.655 (A)

0.660 (C)

5.170

Jumlah Kolom

6.350

4.395

6.145

4.475

 

Jumlah Umum

 

 

 

 

21.365

            

Langkah-langkah dalam menyusun Perhitungan Sidik Ragam:

  1. Susun data seperti pada tabel di atas (sesuai dengan layout percobaan di lapangan), sertakan pula penjelasan kode perlakuannya.
  2. Hitung jumlah baris (B) dan kolom (B) serta jumlah Umum (G) seperti pada contoh tabel di atas.
  3. Hitung Jumlah dan Rataanya untuk masing-masing Perlakuan.

 

Jumlah

Rataan

A

5.855

1.464

B

5.885

1.471

C

4.270

1.068

D

5.355

1.339

  1. Hitung Jumlah Kuadrat untuk semua sumber keragaman.
  1. Susun Tabel Sidik Ragamnya dan Nilai F-tabel :

Sumber
Keragaman

DB

JK

KT

Fhitung

F0.05

Baris

3

0.030154

0.010051

0.465393

4.757

Kolom

3

0.827342

0.275781

12.7691*

4.757

Perlakuan

3

0.426842

0.142281

6.58783*

4.757

Galat

6

0.129585

0.021598

 

 

Total

15

1.413923

 

 

 

Post-Hoc (Tukey HSD)

Langkah 1: Hitung nilai HSD:

  • Tentukan nilai KTG dan derajat bebasnya yang diperoleh dari Tabel Analisis Ragam.
    • KTG = 0.021598
    • ν = db = 6
  • Tentukan nilai kritis dari tabel wilayah nyata student. 
    • Ada tiga parameter yang dibutuhkan untuk menentukan nilai qα, yaitu taraf nyata (α), p = banyaknya perlakuan yang akan dibandingkan, dan derajat bebas galat (db).  Pada contoh ini, p = 4, nilai db = 6 (lihat db galat pada tabel Analisis Ragamnya) dan α = 0.05. Selanjutnya, tentukan nilai q0.05(4, 6).
    • Untuk mencari nilai q0.05(6, 24) kita dapat melihatnya pada tabel Sebaran studentized range pada taraf nyata α = 0.05 dengan p = 4 dan derajat bebas (v)= 6.  Perhatikan gambar berikut untuk menentukan q-tabel.
    • Dari tabel tersebut kita dapatkan nilai q0.05(6, 24) = 4.90
  • Hitung nilai Tukey HSD dengan menggunakan formula berikut:
    $\begin{matrix}\omega=q_\alpha(p,\nu)\sqrt{\frac{KTG}{t}}\\=4.90\times\sqrt{\frac{0.021598}{4}}\\=0.36\\\end{matrix}$
  • Kriteria pengujian:
    • Bandingkan nilai mutlak selisih kedua rata-rata yang akan kita lihat perbedaannya dengan nilai HSD dengan kriteria pengujian sebagai berikut:
      $$ Jika\ \ \left|\mu_i-\mu_j\right|\ \ \left\langle\ \ \begin{matrix}>HSD_{0.05}maka\ hasil\ uji\ menjadi\ nyata\\\le HSD_{0.05}maka\ hasil\ uji\ tidak\ nyata\\\end{matrix}\right.$$

Langkah 2: Urutkan tabel rata-rata perlakuan dari kecil ke besar atau sebaliknya. Buat Tabel matriks selisih di antara rata-rata perlakuan dan bandingkan dengan nilai pembanding (Tukey HSD = 0.36).

   

(C)

(D)

(A)

(B)

Notasi

Perlakuan

Rata-rata

1.068

1.339

1.464

1.471

 

(C)

1.068

0.000

     

a

(D)

1.339

0.271 tn

0.000

   

ab

(A)

1.464

0.396 *

0.125 tn

0.000

 

b

(B)

1.471

0.404 *

0.133 tn

0.007 tn

0.000

b

Keterangan: abaikan garis merah, karena sudah terwakili oleh garis ke dua (b)

Perhitungan dengan SmartstatXL Excel Add-In

Graphical user interface, application Description automatically generated

Tabel Analisis Ragam

Table Description automatically generated

Tabel Uji Lanjut

Chart, box and whisker chart Description automatically generated

Hasil perhitungan dengan menggunakan Software SPSS V.16.

No. Baris

Hasil Pipilan (t ha-1)

1

2

3

4

1

1.640 (B)

1.210 (D)

1.425 (C)

1.345 (A)

2

1.475 (C)

1.185 (A)

1.400 (D)

1.290 (B)

3

1.670 (A)

0.710 (C)

1.665 (B)

1.180 (D)

4

1.565 (D)

1.290 (B)

1.655 (A)

0.660 (C)

Buat list datanya seperti berikut:

Baris

Kolom

Perlakuan

Hasil

1

1

(B)

1.640

2

1

(C)

1.475

3

1

(A)

1.670

4

1

(D)

1.565

1

2

(D)

1.210

2

2

(A)

1.185

3

2

(C)

0.710

4

2

(B)

1.290

1

3

(C)

1.425

2

3

(D)

1.400

3

3

(B)

1.665

4

3

(A)

1.655

1

4

(A)

1.345

2

4

(B)

1.290

3

4

(D)

1.180

4

4

(C)

0.660

Model:

UNIANOVA hasil BY baris kolom perlakuan

  /METHOD=SSTYPE(3)

  /INTERCEPT=INCLUDE

  /POSTHOC=perlakuan(TUKEY LSD)

  /CRITERIA=ALPHA(0.05)

  /DESIGN=baris kolom perlakuan.

Output

Tests of Between-Subjects Effects

Dependent Variable:hasil

 

 

 

 

Source

Type III Sum of Squares

df

Mean Square

F

Sig.

Corrected Model

1.284a

9

.143

6.607

.016

Intercept

28.529

1

28.529

1320.944

.000

baris

.030

3

.010

.465

.717

kolom

.827

3

.276

12.769

.005

perlakuan

.427

3

.142

6.588

.025

Error

.130

6

.022

 

 

Total

29.943

16

 

 

 

Corrected Total

1.414

15

 

 

 

a. R Squared = .908 (Adjusted R Squared = .771)

 

 

Post Hoc

hasil

 

perlakuan

N

Subset

 

1

2

Tukey HSDa

(C)

4

1.0675000000E0

 

(D)

4

1.3387500000E0

1.3387500000E0

(A)

4

 

1.4637500000E0

(B)

4

 

1.4712500000E0

Sig.

 

.138

.608

Means for groups in homogeneous subsets are displayed.

 Based on observed means.

 The error term is Mean Square(Error) = .022.

a. Uses Harmonic Mean Sample Size = 4.000.

Latihan

Petersons et. al (1951) melakukan suatu percobaan pada tanaman Turnip Green dengan menggunakan Rancangan Bujur Sangkar Latin.  Penimbangan kehilangan kandungan air (I, II, III, IV, V) dilakukan pada waktu/periode tertentu.  Data yang dihasilkan pada tabel berikut merupakan kandungan air-80 (persen) (ST, hal. 225).

Apabila kita perhatikan, pada percobaan tersebut terdapat dua pengelompokan, pertama berdasarkan tanaman, dan kedua berdasarkan waktu pengukuran kandungan air.

Tanaman (Baris)

Ukuran daun (A=terkecil, B=terbesar)

(Kolom)

A

B

C

D

E

1

6.67(V)

7.15(IV)

8.29(I)

8.95(III)

9.62(II)

2

5.40(II)

4.77(V)

5.40(IV)

7.54(I)

6.93(III)

3

7.32(III)

8.53(II)

8.50(V)

9.99(IV)

9.68(I)

4

4.92(I)

5.00(III)

7.29(II)

7.85(V)

7.08(IV)

5

4.88(IV)

6.16(I)

7.83(III)

5.83(II)

8.51(V)

Pengolahan data dengan menggunakan sofware Statistica V. 7.0:

Tabel Analisis Ragam

 

Degr. of Freedom

Kandungan Air

SS

Kandungan Air

MS

Kandungan Air

F

Kandungan Air

p

Intercept

1

1297.296

1297.296

1924.799

1.28E-14

Tanaman

4

28.8853

7.221324

10.71428

0.000623

Ukuran Daun

4

23.70814

5.927034

8.793941

0.001483

Waktu

4

0.627256

0.156814

0.232665

0.914655

Error

12

8.087888

0.673991

   

Total

24

61.30858

     

Post-Hoc (Tukey HSD)

Tukey HSD test; variable Kandungan Air (RBSL_Torrie in ContohData.stw)

Homogenous Groups, alpha = .05000 Error: Between MS = .67399, df = 12.000

 

Perlakuan

Kandungan Air

1

5

IV

6.900000

****

3

III

7.206000

****

1

V

7.260000

****

4

I

7.318000

****

2

II

7.334000

****

 

Tukey HSD test; variable Kandungan Air (RBSL_Torrie in ContohData.stw)

Homogenous Groups, alpha = .05000 Error: Between MS = .67399, df = 12.000

 

Tanaman

Kandungan Air

1

2

3

2

2

6.008000

****

   

4

4

6.428000

****

   

5

5

6.642000

****

****

 

1

1

8.136000

 

****

****

3

3

8.804000

   

****

 

Tukey HSD test; variable Kandungan Air (RBSL_Torrie in ContohData.stw)

Homogenous Groups, alpha = .05000 Error: Between MS = .67399, df = 12.000

 

Ukuran Daun

Kandungan Air

1

2

1

A

5.838000

****

 

2

B

6.322000

****

 

3

C

7.462000

****

****

4

D

8.032000

 

****

5

E

8.364000

 

****

Dilihat: 97699